Deputete e Partisë Demokratike në Kuvendin e Shqipërsië | 2021 - 2025
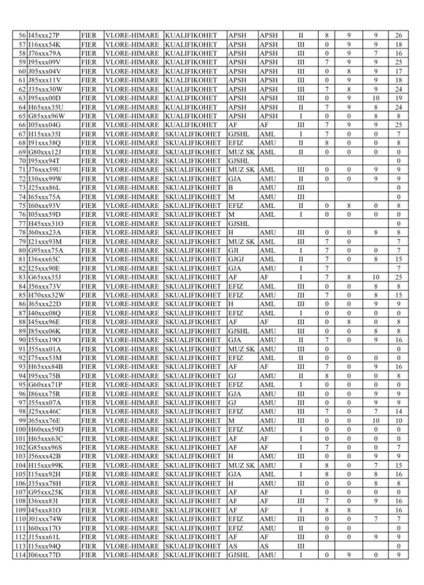
148 arsimtarë, me eksperiencë shumëvjeçare dhe kontribut të dëshmuar në formimin e brezave, janë përjashtuar nga procesi i kualifikimit pa një arsyetim të qartë dhe pa transparencë institucionale. Mirela Kumbaro të jap shpjegime!
Ajo që po ndodh me arsimin në Vlorë nuk mund të reduktohet në një procedurë të zakonshme burokratike. Është një zhvillim shqetësues që prek drejtpërdrejt dinjitetin dhe sigurinë profesionale të mësuesve.
Kur njerëz që kanë mbajtur peshën e sistemit arsimor për vite me radhë përballen me vendime të papritura, Mirela Kumbaro dhe institucionet e arsimit nuk mund të heshtin dhe të shmangin përgjegjësinë për sqarime. Mungesa e informacionit zyrtar, mungesa e një reagimi publik dhe shmangia e llogaridhënies vetëm sa thellojnë pasigurinë dhe dëmtojnë besimin se ka qënë nje proces i saktë.
Kjo situatë ngre pyetje thelbësore:
– Si mund të vihet në pikëpyetje puna shumëvjeçare e mësuesve brenda një kohe kaq të shkurtër?
– A janë ndryshuar kriteret dhe pse nuk janë komunikuar në mënyrë transparente?
– Përse nuk ka një sqarim individual dhe të argumentuar për secilin rast?
– Ku janë mekanizmat që duhet të garantojnë mbrojtjen e mësuesve nga vendime të padrejta?
Vendimet që prekin jetën profesionale të arsimtarëve duhet të jenë të arsyetuara, të dokumentuara dhe të hapura për publikun. Transparenca është detyrim.






